About Us
History
Who We Are
Why Unions?
Local 572
Business Representatives
Executive Board
Office Staff
Organizer
Member Services
Change of Address
File a Grievance
Joint Council 42
Member Discounts
Notary Service
Teamsters Privilege
Rights and Responsibilities
Teamsters.org
Withdrawal Card
Your Contract
Industries
Bakery
Costco
Printing Industry
Pepsi
Public Sector
Ralphs
School Bus
Specialty Crafts
Transit
UPS
About Us
History
Who We Are
Why Unions?
Local 572
Business Representatives
Executive Board
Office Staff
Organizer
Member Services
Change of Address
File a Grievance
Joint Council 42
Member Discounts
Notary Service
Teamsters Privilege
Rights and Responsibilities
Teamster.org
Withdrawal Card
Your Contract
Industries
Bakery
Costco
Printing Industry
Pepsi
Public Sector
Ralphs
School Bus
Specialty Crafts
Transit
UPS
H&W / Pension
Resources
Teamsters Local 572 Voter Guide
Community Services
Education
News
Calendar
Contact
Home
About Us
History
Who We Are
Why Unions?
Local 572
Business Representatives
Executive Board
Office Staff
Organizer
Member Services
Change of Address
File a Grievance
Joint Council 42
Member Discounts
Notary Service
Teamsters Privilege
Rights and Responsibilities
Teamsters.org
Withdrawal Card
Your Contract
Industries
Bakery
Costco
Printing Industry
Pepsi
Public Sector
Ralphs
School Bus
Specialty Crafts
Transit
UPS
H&W / Pension
Resources
Teamsters Local 572 Voter Guide
Education
News
Publications
Calendar
Contact
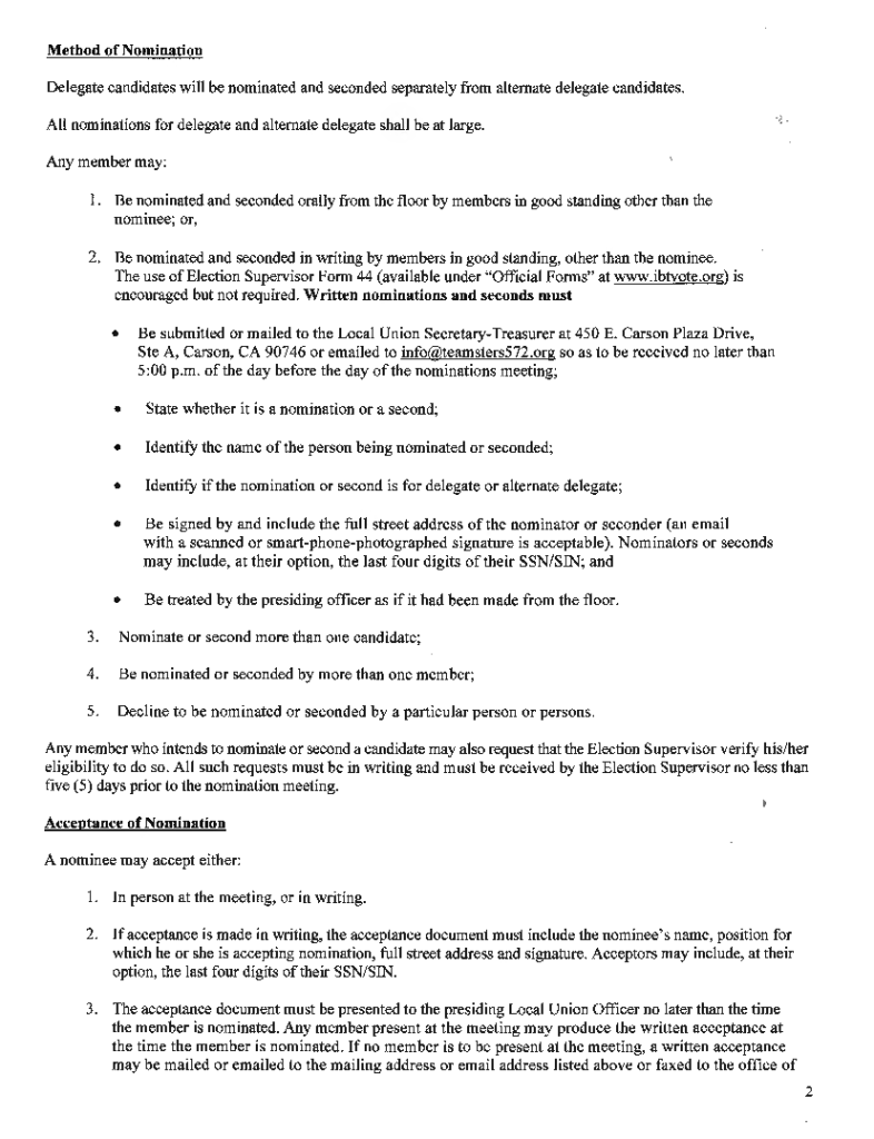
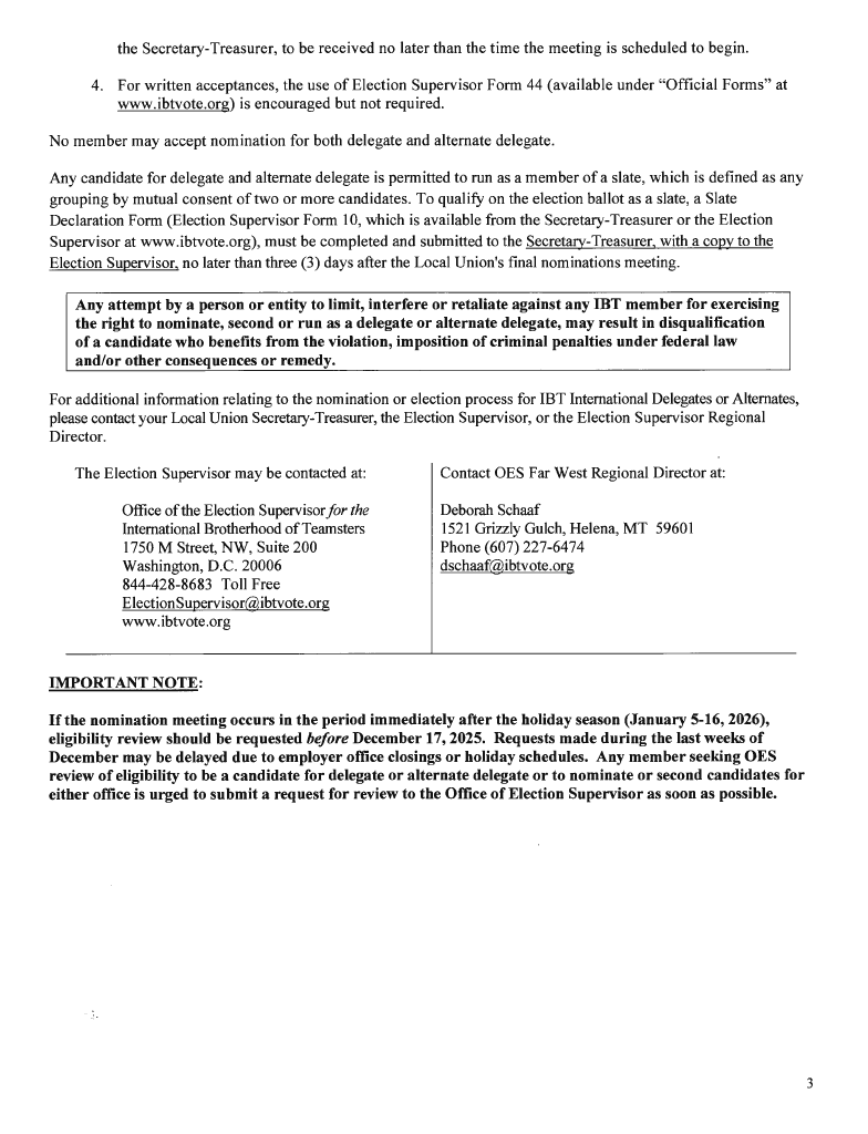
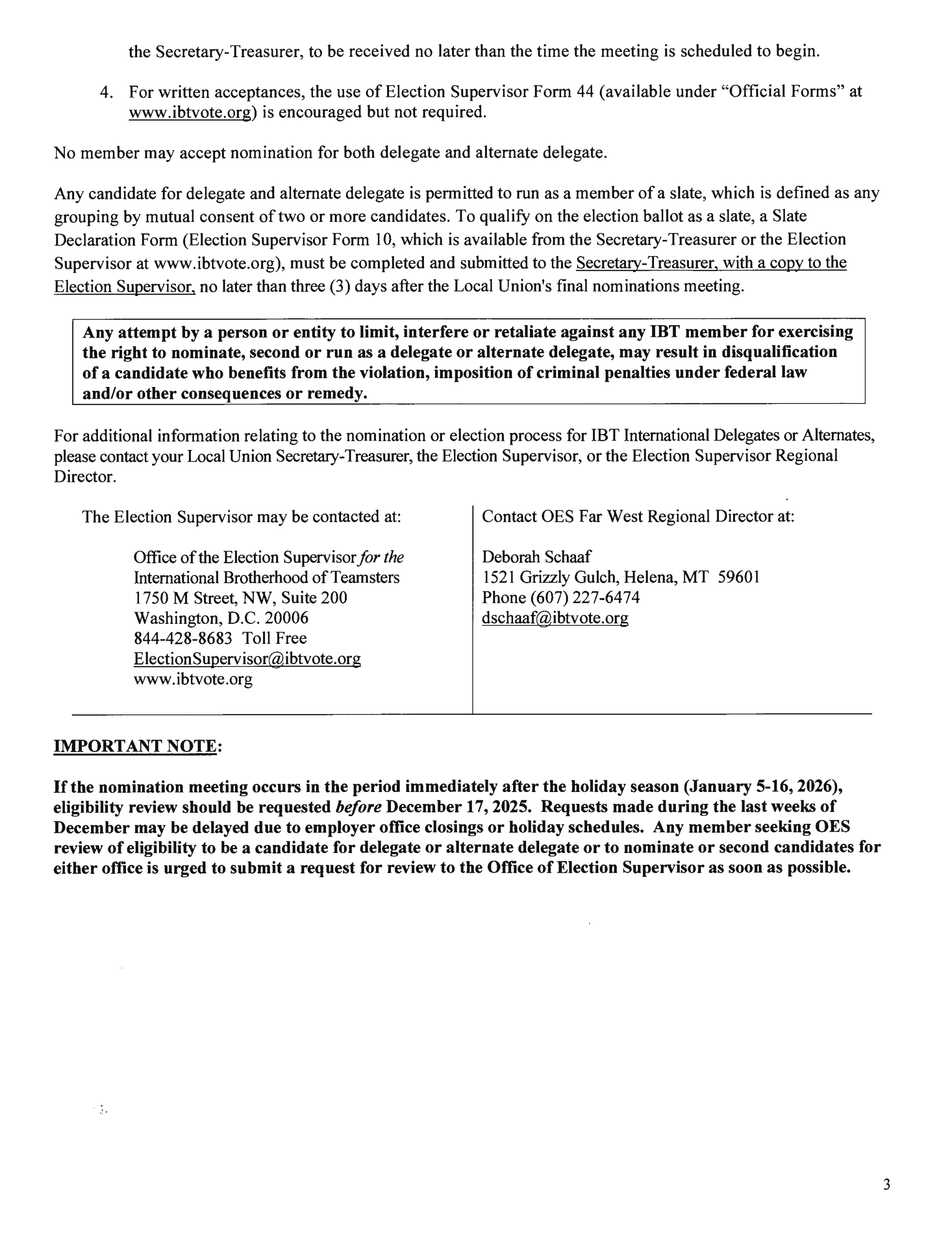
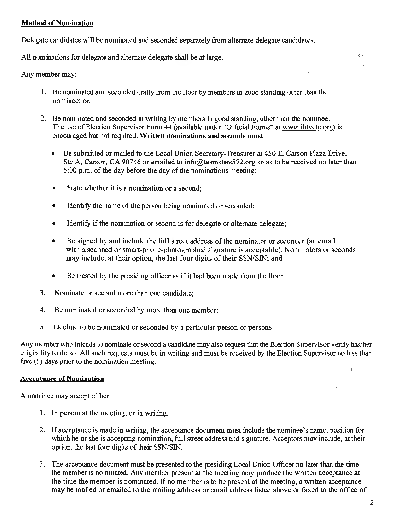
OES Election Notices 2025
Nomination Notices
Local Union Plan Summary
Sign Up for Teamsters Local 572's Newsletter
for Upcoming News and Events
Teamsters Local 572
450 E. Carson Plaza
Suite A
Carson, CA 90746
(310) 515-0601
(310) 515-0942 Fax
info@teamsters572.org